
Trong lĩnh vực thiết kế và xây dựng hiện đại, tự động hóa tính toán kết cấu chỉ với Revit Family đã trở thành một bước tiến quan trọng. Không chỉ hỗ trợ kiến trúc sư và kỹ sư rút ngắn thời gian thiết kế, Revit Family còn cho phép tích hợp các công thức tính toán kết cấu trực tiếp trong môi trường BIM. Điều này giúp giảm thiểu sai sót, nâng cao độ chính xác và tự động hóa quy trình thiết kế.
Vì sao nên tự động hóa tính toán kết cấu bằng Revit Family?
-
Tiết kiệm thời gian: Thay vì nhập liệu thủ công hoặc sử dụng phần mềm thứ 3, mọi phép tính có thể xử lý trực tiếp trong Revit.
-
Đồng bộ dữ liệu: Kết quả tính toán liên kết chặt chẽ với mô hình 3D → nếu thay đổi kích thước phần tử, kết quả tự động cập nhật.
-
Giảm sai sót: Công thức cài đặt sẵn trong Family giúp loại bỏ nhầm lẫn khi nhập số liệu.
-
Tăng hiệu quả quản lý dự án: Toàn bộ dữ liệu được tích hợp trong một mô hình duy nhất.
Cách thiết lập công thức tính toán trong Revit Family
Trong Revit Family, bạn có thể thiết lập công thức tại Family Types → Parameters → Formula. Đây là nơi định nghĩa các quan hệ giữa kích thước hình học và công thức kết cấu.
Các bước truy cập và tạo công thức:
-
Mở Family Editor → tạo Family mới hoặc chỉnh sửa Family có sẵn.
-
Vào Create → Family Types.
-
Trong hộp thoại Family Types, tạo Parameter (tham số) mới:
-
Name: (Tên tham số, ví dụ: Beam_Span).
-
Discipline: Structural.
-
Type of Parameter: chọn Length, Number hoặc Area tùy trường hợp.
-
-
Tại cột Formula, nhập công thức mong muốn.
Case Study: Tính toán tải trọng dầm trong Revit Family
Bài toán:
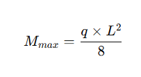
Một dầm có chiều dài L, tải trọng phân bố đều q. Ta cần tính moment lớn nhất (Mmax) và ứng suất uốn (σ).
Công thức cơ bản:
-
Moment lớn nhất:
-
Ứng suất uốn:

Trong đó:
-
q: tải trọng phân bố (kN/m)
-
L: chiều dài dầm (m)
-
y: khoảng cách từ trục trung hòa (mm)
-
I: mô men quán tính (mm⁴)
Cài đặt trong Revit Family:
-
Tạo Parameter:
-
Beam_Span(Length). -
Load_q(Force/Length). -
Moment_Max(Force × Length). -
Stress(Force/Area).
-
-
Nhập công thức trong Family Types:
-
Moment_Max = Load_q * Beam_Span ^ 2 / 8 -
Stress = Moment_Max * y / I
-
👉 Khi thay đổi Beam_Span hoặc Load_q, Revit tự động cập nhật moment và ứng suất, giúp kỹ sư kiểm tra nhanh chóng.
Case Study 2: Tính diện tích thép yêu cầu cho sàn bê tông
Công thức tính diện tích thép:
Trong đó:
-
Mmax: moment tính toán (kNm).
-
Rs: cường độ chịu kéo của thép (kN/cm²).
-
h0: chiều cao làm việc của tiết diện (mm).
Cài đặt trong Revit Family:
-
Parameter:
Mmax,Rs,h0,As_required. -
Formula:
-
As_required = Mmax / (Rs * h0)
-
👉 Khi nhập moment, Revit Family sẽ tự động cho ra diện tích thép cần thiết, kỹ sư không cần tính tay.
Các lệnh và công cụ hỗ trợ trong Revit Family
-
Family Types: quản lý tất cả tham số và công thức.
-
Shared Parameters: giúp liên kết dữ liệu với toàn bộ dự án.
-
Conditional Formulas (If Statements): cho phép thiết lập điều kiện logic, ví dụ:
-
If(Beam_Span > 6000mm, 2, 1)→ nếu dầm dài hơn 6m, số lớp thép = 2, ngược lại = 1.
-
-
Unit Conversion: có thể quy đổi trực tiếp trong công thức (mm sang m, kN sang N).
Lợi ích của tự động hóa tính toán kết cấu bằng Revit Family
-
Tích hợp tính toán và mô hình 3D → không cần dùng phần mềm ngoài.
-
Tăng tốc quy trình thiết kế → thay đổi mô hình, dữ liệu tự động cập nhật.
-
Đảm bảo tính chính xác và đồng bộ → hạn chế lỗi thiết kế.
-
Phù hợp BIM Level 2/3 → hỗ trợ quản lý dự án đa ngành.
-
Tạo thư viện Family thông minh → dùng lại cho nhiều dự án, tiết kiệm thời gian.
Kết luận
Với khả năng tự động hóa tính toán kết cấu chỉ với Revit Family, kỹ sư và kiến trúc sư có thể vừa thiết kế, vừa kiểm tra tính toán ngay trong một nền tảng duy nhất. Từ việc tính toán moment dầm, diện tích thép cho đến ứng suất vật liệu, mọi dữ liệu đều được số hóa và cập nhật theo mô hình.
👉 Đây chính là bước tiến quan trọng trong BIM, giúp tiết kiệm thời gian, nâng cao độ chính xác và tối ưu chi phí cho dự án xây dựng hiện đại.


